Quick Reference Guide to the Ethernet System
Multiple Ethernet segments can be linked together to form a larger Ethernet LAN using a signal amplifying and retiming device called a repeater. Through the use of repeaters, a given Ethernet system of multiple segments can grow as a "non-rooted branching tree." This means that each media segment is an individual branch of the complete signal system. Even though the media segments may be physically connected in a star pattern, with multiple segments attached to a repeater, the logical topology is still that of a single Ethernet channel that carries signals to all stations.
The notion of "tree" is just a formal name for systems like this, and a typical network design actually ends up looking more like a complex concatenation of network segments. On media segments that support multiple connections, such as coaxial Ethernet, you may install a repeater and a link to another segment at any point on the segment. Other types of segments known as link segments can only have one connection at each end. This is described in more detail in the individual media segment chapters.
"Non-rooted" means that the resulting system of linked segments may grow in any direction, and does not have a specific root segment. Most importantly, segments must never be connected in a loop. Every segment in the system must have two ends, since the Ethernet system will not operate correctly in the presence of loop paths.
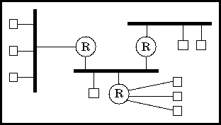
FIGURE 1.1 Ethernet signal topology
The figure shows several media segments linked with repeaters and connecting to stations. A signal sent from any station travels over that station's segment and is repeated onto all other segments. This way it is heard by all other stations over the single Ethernet channel.
As shown here, the physical topology may include bus cables or a star cable layout. The three segments connected to a single repeater are laid out in the star physical topology, for example. The point is that no matter how the media segments are physically connected together, there is one signal channel delivering frames over those segments to all stations on a given Ethernet LAN.

Quick Reference Guide to the Ethernet System - 04 SEP 95
[Next] [Previous] [Top] [Copyright] [Books About Ethernet]
Generated with CERN WebMaker